Remembering Chris Atkins: A Life Remembered
What is "chris atkins obituary"?
Bringing clear, reliable news and in-depth information to keep you informed with context and clarity.
What is "chris atkins obituary"?
Who is the versatile and talented drummer, Phil Earhart?
Who is Kerry McNally? An Irish sportsperson who has represented her country in two sports camogie and Gaelic football.
Who is the perfect match for a farmer? What qualities should they possess? And how can they find love in the vast rural landscape? "Farmer Wants a Wife" h...
What is the impact of images? Images have a powerful impact on our lives. They can inform, educate, entertain, and inspire us. They can also be used to ma...
Can you exchange unopened diapers without a receipt?
Where is Demond Wilson now? As a prominent figure in the entertainment industry, Demond Wilson has captured the attention of many, leading to curiosity ab...
What is Chastain Hospital in Atlanta?
Selena Gomez is pregnant.
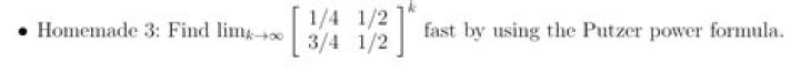
What is the Putzer Power Formula?